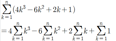
1. 합의 기호 : Σ (시그마 , 썸(sum))이라고 부름

- 오른쪽 k²에 대해서, n을 a부터 1씩 늘려 b가 될 때까지 변화시키고 모두 더한다는 의미를 갖고 있음.
- 스칼라 x k의 함수인 경우에는 스칼라를 합의 기호 밖에 낼 수 있음.

- 다항식으로 작용되는 경우 합의 기호를 각 항으로 나눌 수 있음..
4-6 행렬과 성분의 표기 적어서 넣기

2. 곱의 기호 : Π, 프로덕트 (product......ㅎ), 곱이라고 부름.
- f(n)의 n을 a에서 1씩 증가시켜 b가 될 때까지 변화시키고 모든 f(n)을 곱한다.
3. 미분 : 함수의 기울기를 도출하는 방법
( 머신러닝은 결국 함수에서 최소나 최대인 입력을 찾는 문제(최적화문제...!)이기 때문에 미분 이해합시다)

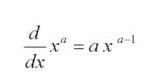
- 미분을 쉽게 구할 수 있는 n차식의 미분 공식
(그림 4-9 지수함수의 미분 공식)
-1차 함수는 직선이므로 어떤 w에서도 기울기는 바뀌지 않음 (가로세로도 다 1씩 증가하니까)
3-1. 중첩된 함수의 미분
- f(w) = g(w)² / g(w) = aw+b 경우.
▶ f(w) = (aw+b)² = a²w² + 2abw + b² > 미분하면 : 2a²w+2ab
3-2. 중첩된 함수의 미분 : 연쇄 법칙
(4-10 연쇄법칙 그림)
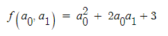
3-3. 편미분

예를 들어 이러한 함수가 있다면 a_0에만 주목하여 다른 변수,
a_1을 상수라고 간주하여 미분하는 것을 편미분이라고 함.
- 편미분의 계산 방법은 '편미분하는 변수에만 주목해서 미분한다'
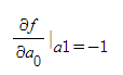
3-3-1. 편미분과 도형

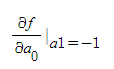
a_1 = -1의 면을 자르면 위의 식에 대해 a_1 = -1을 대입한 식이 이 면의 기울기 식이 됨.
▶ 그것이 바로 a_1에 대한 편미분

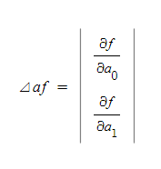
- 이것을 a_0, a_1 에 대한 편미분은 각각 a_0 방향의 기울기, a_1 방향의 기울기로 만들어질 것이고
이 두개의 기울기를 세트로 하여 벡터로 만들 수 있음. 이것을 f의 a에 대한 경사(기울기 벡터, gradient)라고 부름

- 이 경사를 그래픽으로 나타내면..!

- 오른쪽 그래프 : 화살표 길이가 크기값이고, 화살표를 따라가면 그래프의 보다 높은 부분으로 진행됨.
▶ 그렇게 함수의 최대점과 최소점을 찾는데 중요한 개념
- 왼쪽 그래프 : 등고선의 간격이 좁을 수록 크기 값이 큼(화살표 길이가 길다)
'머신러닝 > 개념익히기' 카테고리의 다른 글
| 지수함수와 로그함수 (0) | 2023.05.16 |
|---|---|
| 행렬 (0) | 2023.05.16 |
| 벡터와 연산 (0) | 2023.05.10 |
| 3차원 그래프 그리기 (0) | 2023.05.09 |
| 3차 함수 그래프 그리기 (0) | 2023.05.09 |