<1개의 조명이 깜빡거릴때>

(전기는 + 에서 - 쪽으로 흐르기때문에)
보드에서 전기가 나오는 쪽 > 13번으로 나와서 > GND로 돌아오는것
5V는 너무 크기때문에 중간에 저항을 달아준것
13번에만 전기를 보냈기때문에 13번 코드?에서만 불이 나오는것
'+를 여기에 인가했다' > 라고 말한다.
<3개의 조명이 번갈아가며 켜질 때>

<색 점점 빨갛게 하기>

<학교종이 땡땡땡 하기>
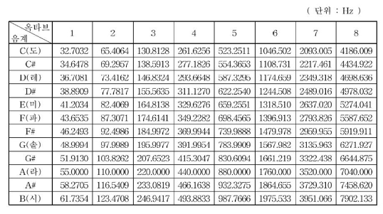
- 주파수 음게를 출력해서 소리를 출력하게 할 수 있다.



'아두이노' 카테고리의 다른 글
| 아두이노 LCD와 시계 (0) | 2023.07.19 |
|---|---|
| 아두이노 - 초음파 / 사운드 / 일산화탄소 센서 / 팬모터 (0) | 2023.07.18 |
| 아두이노 디스플레이 출력 - FND(7-Segment)/ 도트매트릭스 (0) | 2023.07.17 |
| 아두이노 (0) | 2023.07.12 |
| 아두이노 시리얼통신 / 버튼데이터 / 가변저항값 / CDS조도센서 (0) | 2023.07.11 |